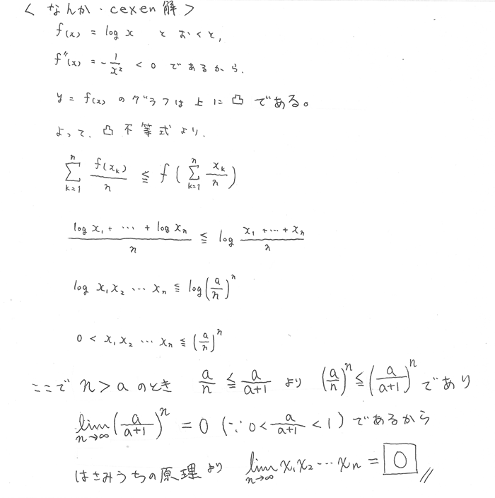
なんか-1: 条件付きn個の文字の極限

なんか
2013.07.07(Sun)

Question

Answer

Comments

コメントはありませんよ。
  • Name:
  • Passphrase:
  • Comment:

(Passphrase知らない人はCexen-3: Passphraseのための問題②でどうぞ)