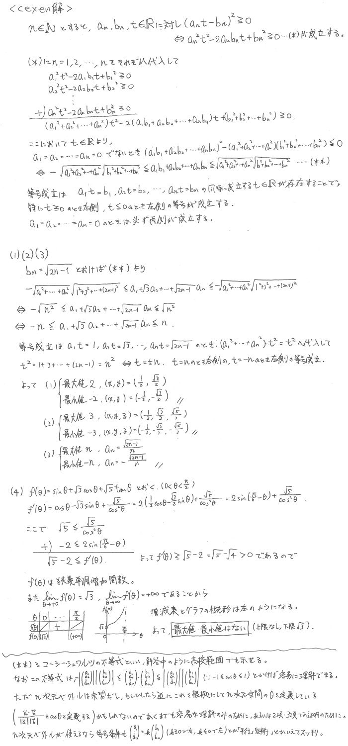
なんか-4: 条件付きn個の文字の最大・最小

なんか
2013.07.07(Sun)

Question

Answer

Comments

2 cexen 解答中の増減表は↗が抜けてますね 2013.07.11(Thu) 10:39.43
  • Name:
  • Passphrase:
  • Comment:

(Passphrase知らない人はCexen-3: Passphraseのための問題②でどうぞ)