吾-3: 幾何と数列

2013.07.07(Sun)

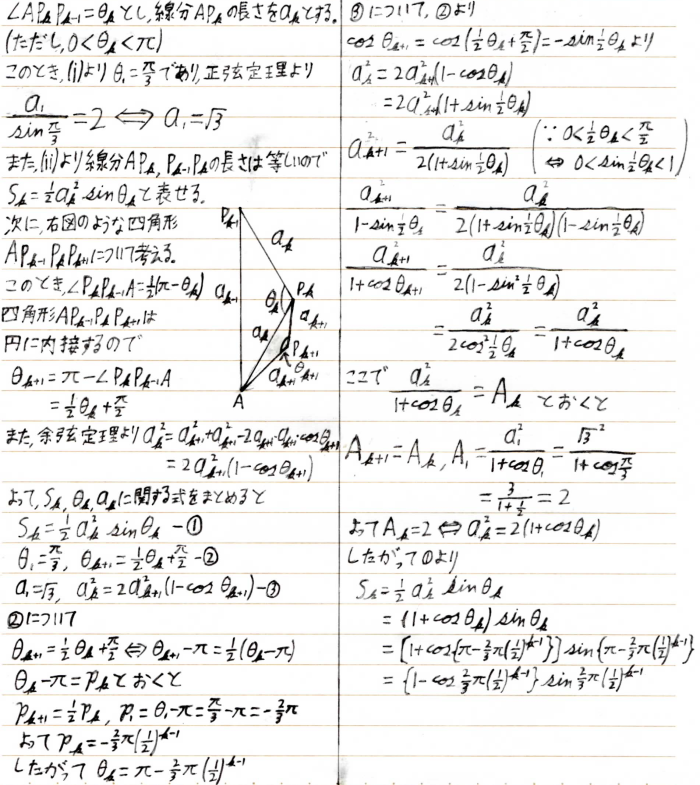
Question

Answer

Comments

8 cexen 難易度は、数列の設定と計算が地味にむつかしいのでC****という感じ 2013.08.29(Thu) 01:18.59
  • Name:
  • Passphrase:
  • Comment:

(Passphrase知らない人はCexen-3: Passphraseのための問題②でどうぞ)